
Litio - celda ión

Litio - módulo de ión y clúster
Sobre litio - batería de iones
El éxito de la industrialización de las baterías de iones de litio - en la década de 1990 no se logró mediante un paso o una empresa; Fue el resultado de la diligente investigación y contribuciones de numerosos científicos e ingenieros sobresalientes. Desde entonces, se han realizado grandes esfuerzos para mejorar aún más el rendimiento de las baterías de iones de litio -}, lo que resulta en un progreso significativo. Comprender el desarrollo histórico de las baterías iones de litio - nos ayuda a comprender los avances y avances tecnológicos que han definido la tecnología moderna de almacenamiento de energía.
Reducir las emisiones de gases de efecto invernadero y mitigar los efectos del calentamiento global son objetivos globales importantes. Por lo tanto, desarrollar tecnologías de energía ecológica, sostenibles, sostenibles para reemplazar las tecnologías alimentadas con combustible fósil - es imperativo. En los últimos años, el desarrollo y el uso de la energía renovable han aumentado rápidamente, reemplazando a los sistemas de generación y transmisión basados en la generación y transmisión basados en el combustible fósil tradicional.
Carga y descarga de litio - batería de iones
La carga y descarga de baterías de iones de litio - es un proceso reversible. El principio es que los iones de litio (Li+) se mueven entre los electrodos positivos y negativos a través del separador. Durante este proceso, los electrones fluyen desde el circuito externo para reponer el lado deficiente del litio -} para mantener el equilibrio potencial. Esta reacción no es ideal, y la energía se pierde durante el proceso de carga y descarga de baterías de iones de litio -.
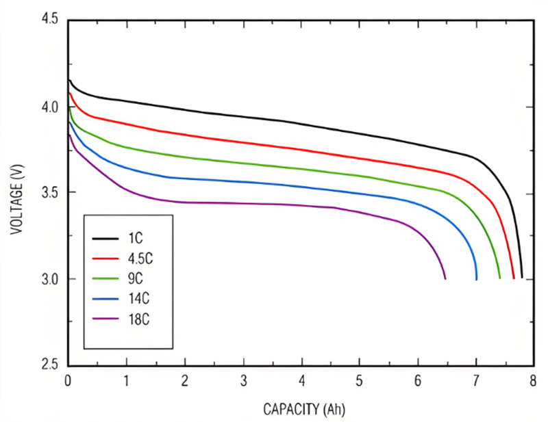
La tasa de carga/descarga (tasa de c -) se refiere a la tasa de carga o descarga, que está relacionada con la tasa de litiación o delitiación del material del electrodo. C representa la capacidad de la batería, típicamente medida en amperios - horas (AH), e indica la cantidad de material activo disponible para la descarga. Ampere es la unidad de corriente eléctrica, que representa el número de coulombs por unidad de tiempo. Por lo tanto, la corriente multiplicada por el tiempo es la cantidad real de coulombs almacenadas en la batería.

La fórmula detrás de las clasificaciones C
t=tiempo
CR=C tasa
t=1 / cr (para ver en horas)
t=60 minutos / cr (para ver en minutos)
Ejemplo de tasa de 0.5c
Batería de 2300 mAh
2300mAh / 1000=2.3 a
0.5c x 2.3a=1.15 A disponible
1 / 0.5C=2 horas
60 / 0.5C=120 minutos
Ejemplo de tasa de 2c
Batería de 2300 mAh
2300mAh / 1000=2.3 a
2c x 2.3a=4.6 A disponible
1 / 2C=0.5 horas
60 / 2c=30 minutos
Ejemplo de tasa de 30c
Batería de 2300 mAh
2300mAh / 1000=2.3 a
30c x 2.3a=69 A disponible
60 / 30C=2 minutos
La siguiente tabla muestra los tiempos de descarga para diferentes tasas de C -.
| C - tasa | Tiempo |
| 0.05c o c/20 | 20 h |
| 0.1c o c/10 | 10 h |
| 0.2c o c/5 | 5 h |
| 1C | 1 h |
| 2C | 30 minutos |
| 3C | 20 min |
| 4C | 15 min |
| 5C | 12 min |
| 6C | 10 minutos |
| 10C | 6 min |
| 15C | 6 min |
| 20C | 3 minutos |
Las tasas de 0.5c, 1c y 2c representan tiempos de descarga comunes para una batería, donde 1C es una descarga completa en una hora, 0.5C es una descarga de dos -} de la hora, y 2C es una descarga de 30 - de minuto. Para la mayoría de los proyectos de almacenamiento de energía solar, las tasas de C para las baterías de iones de litio - son 0.25c, 0.5C y 1C. Las baterías de iones de litio utilizadas para UPS también usan 4C.
Cómo calcular el máx. Corriente de descarga de una batería de iones de litio -
Para hacer cálculo, debe conocer su capacidad (c), voltaje nominal (v) y calificación C (c). La fórmula es la siguiente:
Corriente de descarga máxima=capacidad (c) x c clasificación (c) / voltaje nominal (v)
Por ejemplo, suponga que tiene una batería de iones de litio de litio 200AH de 200AH con una calificación de 2C y un voltaje nominal de 51.2V. La corriente de descarga máxima sería:
Corriente de descarga máxima=200 ah x 2 / 51.2v=78.125 a
Esto significa que la batería puede entregar una corriente máxima de 78.125a sin dañarla o reducir su vida útil.
Los factores que afectan la tasa de c -
1. Temperatura
La temperatura afecta significativamente el rendimiento de la batería y sus tasas de carga y descarga. A temperaturas más altas, las baterías pueden soportar tasas de descarga más rápidas, pero también correr el riesgo de sobrecalentamiento y daños.
2. Degradación y condición de la batería
A medida que las baterías envejecen, su capacidad y capacidad para resistir la descarga de velocidad - típicamente disminuyen. Esto se debe a que los componentes internos se desgastan con el tiempo, aumentando la resistencia interna. Las baterías más antiguas son menos eficientes para manejar el calor generado por los ciclos de carga y descarga rápidas y pueden tener dificultades para mantener las mismas tasas de descarga que las baterías más nuevas.
3. Tamaño y diseño de la superficie
La superficie más grande, o aquellos con más área de superficie para el flujo de corriente, generalmente pueden manejar tasas de C - más altas. En contraste, las baterías más pequeñas pueden sobrecalentarse o degradarse más rápidamente si se cargan o descargan demasiado rápido.











